Số đồng phân ester ứng với công thức phân tử C4H8O2 là
Số đồng phân ester ứng với công thức phân tử C4H8O2 là được VnDoc biên soạn hướng dẫn các bạn viết đông phân của hợp chất hữu cơ có công…
Số đồng phân ester ứng với công thức phân tử C4H8O2 là được VnDoc biên soạn hướng dẫn các bạn viết đông phân của hợp chất hữu cơ có công…
The most famous man-made monuments in the world Here are our Top 10 famous landmarks in the world. These man-made landmarks and monuments are well known for their special locations,…
In biochemistry, a ribonucleotide is a nucleotide containing ribose as its pentose component. It is considered a molecular precursor of nucleic acids. Nucleotides are the basic building blocks of DNA…
Truyền động xích là gì? Truyền động bằng xích là phương thức di chuyển cơ năng từ vị trí này đến vị trí khác. Truyền động xích thường được sử…
Với 15 câu hỏi trắc nghiệm Tin 10 Bài 2: Một số kĩ thuật thiết kế sử dụng vùng chọn, đường dẫn và các lớp ảnh sách Cánh diều có…
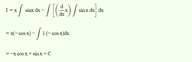
1. Lý thuyết nguyên hàm từng phần 1.1. Khái niệm nguyên hàm từng phần Nguyên hàm từng phần chính là phương pháp giải các dạng bài toán 12 nguyên hàm.…
Vận tải là gì? Vận tải là quá trình vận chuyển hàng hóa, thông tin, hành khách từ nơi này sang nơi khác nhằm phục vụ nhu cầu của con…
Lãnh thổ quốc gia (tiếng Anh National territory) là phạm vi không gian được giới hạn bởi biên giới quốc gia, thuộc chủ quyền hoàn toàn và đầy đủ của…
Một nếp uốn của các lớp đá trầm tích ở Crete, Hi Lạp – là một trong những tác động của nội lực. Nội lực trong địa chất học là…