Đề thi minh hoạ môn tiếng Anh – Kì thi tốt nghiệp THPT năm 2025

Bộ Giáo dục và Đào tạo chính thức công bố cấu trúc định dạng đề thi tốt nghiệp THPT môn Tiếng Anh từ năm 2025. Các sĩ tử 2K7 tham khảo ngay Đề thi minh họa môn Tiếng Anh kì thi tốt nghiệp THPT QG năm 2025 để sớm làm quen với cấu trúc đổi mới của đề thi trong bài viết dưới đây.

Bên cạnh đó, Trường Đại học CMC tổng hợp và chia sẻ những thông tin về điểm mới trong dạng câu hỏi, kiến thức quan trọng trong cấu trúc đề thi tốt nghiệp THPT năm 2025 môn tiếng Anh, nhằm giúp các bạn thuận tiện trong việc tham khảo và ôn tập.

Tổng hợp trang cập nhật đề chính thức của 9 môn thi và đáp án tham khảo tất cả các mã đề (sau khi Kỳ thi tốt nghiệp THPT năm 2025 diễn ra)

  • Đề thi chính thức và đáp án tham khảo môn Toán – Kỳ thi tốt nghiệp THPT 2025;
  • Đề thi chính thức và gợi ý lời giải tham khảo môn Ngữ Văn – Kỳ thi tốt nghiệp THPT 2025;
  • Đề thi chính thức và đáp án tham khảo môn Tiếng Anh – Kỳ thi tốt nghiệp THPT 2025;
  • Đề thi chính thức và đáp án tham khảo môn Vật Lí – Kỳ thi tốt nghiệp THPT 2025;
  • Đề thi chính thức và đáp án tham khảo môn Hóa Học – Kỳ thi tốt nghiệp THPT 2025;
  • Đề thi chính thức và đáp án tham khảo môn Sinh Học – Kỳ thi tốt nghiệp THPT 2025;
  • Đề thi chính thức và đáp án tham khảo môn Lịch Sử – Kỳ thi tốt nghiệp THPT 2025;
  • Đề thi chính thức và đáp án tham khảo môn Địa Lí – Kỳ thi tốt nghiệp THPT 2025;
  • Đề thi chính thức và đáp án tham khảo môn GDCD – Kỳ thi tốt nghiệp THPT 2025.

Đề thi tốt nghiệp THPTQG môn Tiếng Anh từ năm 2025: thời gian làm bài giảm

đề thi tốt nghiệp thpt môn anh
2025 là năm đầu tiên kỳ thi tốt nghiệp THPT được tổ chức theo chương trình giáo dục phổ thông mới. Do đó, đề thi có nhiều điểm mới so với những năm trước.

Khác với mọi năm, đề thi tốt nghiệp THPT môn tiếng Anh từ năm 2025 xuất hiện nhiều dạng khoanh trắc nghiệm mới, yêu cầu thí sinh giải quyết 40 câu hỏi trong thời gian 50 phút. Theo lý giải, thời gian tổ chức thi môn ngoại ngữ giảm để bảo đảm công tác tổ chức thi các môn tự chọn (cần phải có thời gian làm bài như nhau).

Cấu trúc định dạng đề thi theo định hướng đánh giá năng lực, phù hợp với Chương trình giáo dục phổ thông 2018 và được thể hiện thông qua đề minh họa, bảng năng lực – cấp độ tư duy kèm theo. Theo đó, người học sẽ được biết đề thi gồm mấy phần, có những dạng thức câu hỏi trắc nghiệm nào, những (thành phần) năng lực nào được đánh giá trong đề minh họa.

Đề thi tốt nghiệp THPT môn Tiếng Anh năm 2025 - BẢNG NĂNG LỰC
Bảng năng lực và cấp độ tư duy đối với Đề minh họa môn tiếng Anh – Kì thi tốt nghiệp THPT năm 2025.

Các câu hỏi trong đề minh họa cố gắng gắn với các bối cảnh có ý nghĩa (bối cảnh có tác dụng/có giá trị nhất định đến đời sống, thực tiễn, khoa học).

Tại thời điểm này, Chương trình giáo dục phổ thông 2018 mới thực hiện đến lớp 11, do vậy các nội dung kiến thức được sử dụng trong các đề minh họa chủ yếu thuộc lớp 10 và 11.

Hướng dẫn ôn luyện để chuẩn bị cho kỳ thi tốt nghiệp THPTQG 2025 hiệu quả

Mặc dù không có quá nhiều sự thay đổi trong đề thi minh họa tốt nghiệp THPT Quốc gia, tuy nhiên thí sinh cũng cần có một kế hoạch học tập và phương pháp học tập hợp lý, kiên trì để có thể đạt được mục tiêu như mong muốn. Cùng Trường Đại học CMC ghi nhớ những lưu ý để chuẩn bị kỳ thi một cách tốt nhất:

  • Học theo từng chuyên đề: Để có thể làm đề tốt nhất, bạn cần học từng chuyên đề như: phát âm, các thì trong tiếng Anh…
  • Nắm vững cấu trúc đề thi: Tham khảo đề thi từ Bộ để biết rõ số lượng câu hỏi, thời gian làm bài, hình thức câu hỏi (trắc nghiệm, tự luận),… của từng môn.
  • Làm quen với đề thi thử: 2025 là năm triển khai cấu trúc đề thi mới. Vì vậy, sĩ tử nên làm quen với các đề thi thử để có thể đạt được điểm tốt hơn.

Xem thêm: Tuyển tập bộ đề ôn thi tốt nghiệp THPT môn tiếng Anh năm 2025 (theo cấu trúc mới) – Phần 1

Đề thi minh họa môn Tiếng Anh – Kì thi Tốt nghiệp THPT năm 2025

⚠️ MỚI: Trọn bộ 50+ đề thi thử tiếng Anh kì thi tốt nghiệp THPT theo cấu trúc mới từ năm 2025

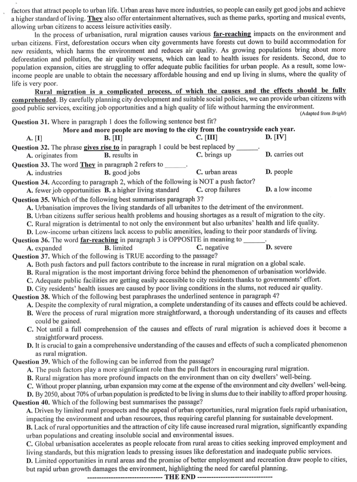
Chi tiết đề minh họa cấu trúc môn tiếng Anh thi tốt nghiệp THPT từ năm 2025 như sau:

Đề thi minh họa môn Tiếng Anh tốt nghiệp THPT năm 2025 - ảnh 1

Đề thi minh họa môn Tiếng Anh tốt nghiệp THPT năm 2025 - ảnh 2

Đề thi minh họa môn Tiếng Anh tốt nghiệp THPT năm 2025 - ảnh 3

Đề thi minh họa môn Tiếng Anh tốt nghiệp THPT năm 2025 - ảnh 4

Tải về Đề thi minh họa môn Tiếng Anh – Kì thi Tốt nghiệp THPT năm 2025 PDF TẠI ĐÂY:

De-thi-minh-hoa-mon-Tieng-Anh-tot-nghiep-THPT-nam-2025-pdf

Xem thêm:

Đáp án Đề thi minh họa môn Tiếng Anh kì thi tốt nghiệp THPT QG năm 2025

Kì thi tốt nghiệp THPT 2025 gồm những môn thi nào?

Việc ôn tập với “Đề minh họa môn tiếng Anh kì thi tốt nghiệp THPT năm 2025” theo cấu trúc mới là cơ sở cần thiết để giúp các sĩ tử sớm làm quen với cấu trúc đề thi mới và sẵn sàng chinh phục môn tiếng Anh trong kì thi chính thức.

Hãy thường xuyên theo dõi website của Trường Đại học CMC để cập nhật kịp thời các thông tin quan trọng về kì thi tốt nghiệp THPT năm 2025, đồng thời nhận các tài liệu ôn thi, đề thi thử mới nhất từ các trường THPT và Sở GD&ĐT tại các tỉnh/thành. Đây là những nguồn tài liệu hữu ích, hỗ trợ 2k7 trong quá trình ôn tập và đạt được kết quả cao trong kỳ thi tốt nghiệp THPT Quốc Gia 2025 sắp tới. Chúc các bạn học tốt và thành công!