Giải đáp: Khu vực chính của bàn phím có mấy hàng phím?
Khi sử dụng máy tính, chắc hẳn nhiều người từng thắc mắc khu vực chính của bàn phím có mấy hàng phím và cách chúng được sắp xếp ra sao.…
Khi sử dụng máy tính, chắc hẳn nhiều người từng thắc mắc khu vực chính của bàn phím có mấy hàng phím và cách chúng được sắp xếp ra sao.…
Một trong những câu hỏi các học viên thường trả lời sai nhất chính là “Biển nào cấm máy kéo?” Để hiểu rõ bản chất câu hỏi này hãy cùng…
Sách bài tập Khoa học tự nhiên 7 Bài 31: Sinh trưởng và phát triển ở động vật Bài 32.5 trang 68 sách bài tập KHTN 7: Đặc điểm nào…
Trước khi tìm hiểu vì sao hoạt động kinh tế chính của người Kinh ngày xưa là sản xuất nông nghiệp trồng cây lúa nước, hãy điểm qua một số…
I. BỐI CẢNH TÌNH HÌNH Sau chiến tranh thế giới thứ hai, đế quốc Mỹ trở nên giàu có và hùng mạnh nhất thế giới tư bản, đứng ra giữ…
Gió tín phong là gì? Là dạng gió liên tục xuất hiện quanh năm ở khu vực gần xích đạo, có ảnh hưởng trực tiếp đến khí hậu. Nguồn gốc…
Mùn cưa, một sản phẩm thải của ngành công nghiệp gỗ, thường bị xem là phế phẩm không còn giá trị và cần được xử lý để ngăn chặn tác…
Luật xa gần trong tạo hình còn gọi là luật thấu thị hay luật phối cảnh, là tập hợp những phương pháp biểu hiện không gian lên mặt phẳng với…
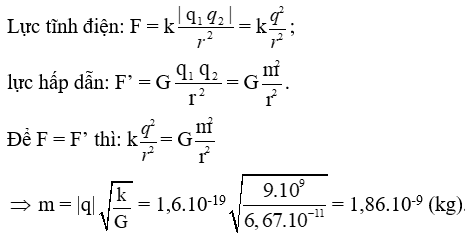
B. Bài tập Bài 1: Hai điện tích điểm bằng nhau đặt trong chân không, cách nhau một đoạn r = 4 cm. Lực đẩy tĩnh điện giữa chúng là…
THÔNG TƯ Hướng dẫn tính năng suất lao động bình quân và tiền lương bình quân trong các công ty nhà nước theo Nghị định số 206/2004/NĐ-CP ngày 14/12/2004 của…