Tính Nguyên Hàm Của Tanx Bằng Công Thức Cực Hay
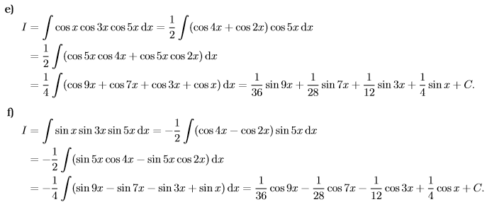
1. Nguyên hàm (tanx-cotx)^2 Bài tập 1: Tính nguyên hàm của f(x)= tanx – cotx$frac{1}{2}$ Giải: Dùng kỹ thuật thêm bớt, ta được: $int tan^{2}xdx= left [ left ( 1+tan^{2}x…
1. Nguyên hàm (tanx-cotx)^2 Bài tập 1: Tính nguyên hàm của f(x)= tanx – cotx$frac{1}{2}$ Giải: Dùng kỹ thuật thêm bớt, ta được: $int tan^{2}xdx= left [ left ( 1+tan^{2}x…
Đây là danh sách quốc gia và lãnh thổ phụ thuộc theo diện tích đất liền, diện tích biển, và tổng diện tích. Các mục trong danh sách này bao…
Giải SBT Vật Lí 10 Chủ đề 4: Động lượng Bài 4.27 trang 44 sách bài tập Vật Lí 10: Vật A có khối lượng 400 g chuyển động với…
Phương pháp: – Phân tích (Phân tích đề để xác định thể loại, yêu cầu, phạm vi dẫn chứng). – Sử dụng các thao tác lập luận (phân tích, tổng…
For a person that’s been nomadic for the last year and doesn’t really know if “home” will ever be one place, this is a rare sentence I’m about to utter.…
Vùng biển Việt Nam bao gồm nội thủy, lãnh hải, vùng tiếp giáp lãnh hải, vùng đặc quyền kinh tế và thềm lục địa thuộc chủ quyền, quyền chủ quyền…
Câu 1. Đại lượng nào sau đây không phải là đại lượng véc tơ? A. Động lượng B. Lực quán tính C. Công cơ học D. Xưng của lực(xung lượng)…
Giải Chuyên đề Vật Lí 12 Bài 7: Hiệu ứng quang điện và năng lượng của photon – Chân trời sáng tạo Hình thành kiến thức mới 9 trang 48…
BHG – Nhà nước Đại Cồ Việt dưới thời nhà Đinh, tuy chỉ tồn tại trong 12 năm (968 – 980), trải qua 02 đời vua, nhưng trong quá trình…